A webes alkalmazás és módszertana

Szakmai útmutató a csúcs- és középátmérő szerinti fa köbözéshez

Fagazdasági Országos Szakmai Szövetség 1999 KÖNYV
Fagazdasági Országos Szakmai Szövetség 2025 WEBES ALKALMAZÁS

A könyv célja és módszertana

Fő cél:  A táblázatot, illetve táblázatcsoportot egy kötetben adja ki.

A Fagazdasági Országos Szakmai Szövetség célja volt (1999-ben), hogy segítse a gyakorlati munkát egységes szerkezettel.

Technikai jellemzők
  • 1 cm-es átmérő ugrás
  • 3 tizedes pontosság
  • Egységes szerkezet
  • Könnyű összevethetőség
Számítási módszer

A program 12 tizedesjegy figyelembe vételére, majd 3 tizedesre kerekítésre volt beállítva a maximális pontosság érdekében.

Felhasználói segítségek

Számok vastagítása
Oldalléc és fejléc kiemelése
Segédvonalak
5 cm-enkénti és 1m-enkénti jelölések
Oszlop kiemelés
Páros átmérők megvastagítása

A webes alkalmazás és módszertana A webes alkalmazás és módszertana

Fő cél:  A táblázatot, illetve táblázatcsoportot egy webes alkalmazásban adja ki.

A Fagazdasági Országos Szakmai Szövetség célja volt (2025-ben), hogy segítse a gyakorlati munkát online felületen.

Technikai jellemzők
  • 1 cm-es átmérő ugrás
  • 3 tizedes pontosság
  • Fafaj választás (8 fafajra és fafajcsoportra készült táblázat)
  • Hossz mértékegység váltás (cm, dm)
Számítási módszer

A középátmérőnél a henger térfogat képlet alapján 3 tizedesre számolunk, a csúcsátmérőnél nem végzünk képlet alapú számítást a köbözőkönyvben szereplő értékeket jelenítjük meg, a teljes egyezőség érdekében.

Felhasználói segítségek

Sorszám vezetés
Tetszőleges rönklapka sorszám megadása
Csúcs és középátmérős köbözés
Kiszámolt értékek egyidőben történő megjelenítése
Felhőalapú rönknyilvántartás
Rönklista küldése a felhőalapú fiókba

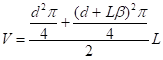
Csúcsátmérő szerinti köbözés

Huber-Smalian térfogatmeghatározó formula
Huber-Smalian formula
V = köbtartalom (m³) | L = hosszúság (m) | d = csúcsátmérő (m) | ß = sudarlóssági érték

Sudarlóssági értékek (ß)

Átmérő tartomány Jellemző Alkalmazás
12-30 cm Állandó béta érték Fafaj/fafajcsoport szerint
32-50 cm Állandó béta érték
52 cm felett Állandó béta érték
Táblázat lefedettség

8 fafajra és fafajcsoportra készült táblázat

Átmérő: 12-100 cm (2 cm ugrás)

Hossz: Lombos: 1,00-6,00m, Fenyő: 2,00-6,60m

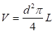
Középátmérő szerinti köbözés

Exportforgalom

A belföldi forgalom mellett az export esetében továbbra is szükség volt a kéreg nélküli középátmérő szerinti köbözésre.

Hengertérfogat számítás képlete
Hengertérfogat formula
V = köbtartalom (m³) | L = hosszúság (m) | d = középátmérő (m) | π = Ludolf-féle szám
Krammer táblázat alapján
  • Átmérő ugrás: 1 cm-enkénti
  • Hossz növekmény: 10 cm-enként
  • Hossz tartomány: 1,00-15,90 m
  • Pontosság: ezred (0,001) m³
Átmérő tartományok
1,00-10,90 m hossz:
6-95 cm
11,00-15,90 m hossz:
11-100 cm

Visszaemlékezés az előző kiadásokra

1981. január 1.
Hatályba lépett szabványok:
MSZ 13307-79
Furnér rönk hazai fafajokból
MSZ 45-79
Fűrészipari rönk hazai fafajokból
MSZ 44-79
Kivágás hazai fafajokból
Változás a gyakorlatban
Korábban:

Kéreg nélküli középátmérő szerinti rönkköbözés (eltörölve)

1981-től:

2 cm-es fokozatú csúcsátmérő alapú köbözés (kötelező)

2025-től:

Digitális köbözés és webes alkalmazás használata (ajánlott)

Kiadók története

Mezőgazdasági Kiadó
Első kiadó

Fainforg
Második kiadó

Erdész 94 Kft.
Harmadik kiadó

Fagosz
Jelenlegi kiadó

Köbözőkönyv Digitális Korszaka

Teljes elérhetőség 5 operációs rendszeren

  • Windows
  • Mac
  • Linux
  • Android
  • iOS
67. FAGOSZ Fakereskedelmi Konferencia

Dátum: 2025. október 30-31.

Helyszín: Forster Vadászkastély és Szálloda

Cím: 2347 Bugyi, Rádai út 01601/14

Előadó
Tóth János

Ügyvezető főtitkár

FAGOSZ
FATÁJ
FATUDAKOZÓ